最新资讯
- 2025年成人高考专升本考试真题、高起点真题汇总2025-10-22
- 2025成人高考语文真题及答案解析汇总2025-10-22
- 2025成人高考专升本试卷真题答案解析汇总:各科目2025-10-22
- 2025年成人高考高起专试卷真题各科目汇总2025-10-22
- 2025成人高考试卷政治真题及答案汇总已更新2025-10-22
- 2025年10月18日、19日成人高考专升本真题及答案汇总2025-10-22
- 2025专升本成人高考真题及答案汇总2025-10-22
- 2025成人高考专科英语真题解析来了!含答案速查2025-10-21
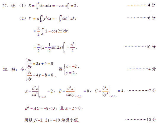
- 2025成人高考高等数学一真题+答案PDF免费下载2025-10-21
- 2025成考高起专数学真题(文)下载!含答案速查2025-10-20


