当前位置: 首页 > 成人高考 > 数学(文)(高起点) > 设甲:函数的图像经过点(1,3);乙:k=3,则

1.【单选题】

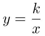
设甲:函数的图像经过点(1,3);

乙:k=3,则

A

甲是乙的必要条件但不是充分条件

B

甲是乙的充分条件但不是必要条件

C

甲是乙的充要条件

D

甲既不是乙的充分条件也不是乙的必要条件

查看答案
获取二级造价工程师定制学习规划
壮壮老师
00:00:00
2334已获取

微信号:hqwxjg1006

成人高考历年真题 更多

下载快题库,随时随地刷题
碎片时间巩固知识点

返回顶部