当前位置: 首页 > 自学考试 > 概率论与数理统计(经管类)(04183) >

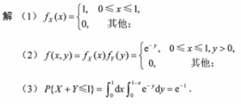
1.【问答题】

查看答案
获取二级造价工程师定制学习规划
壮壮老师
00:00:00
2334已获取

微信号:hqwxjg1006

自学考试历年真题 更多

下载快题库,随时随地刷题
碎片时间巩固知识点

返回顶部