自学考试
全部课程
课程试听
老师风采
考试动态
考试报名
成绩查询
证书领取
通知单
报考指南
答疑精选
准考证
考试安排
论文答辩
合格标准
报考查询
报考条件
考试题库
在线题库
历年试题
模拟试题
知识点题目
备考指导
报考须知
复习资料
考务考籍
考试技巧
学员心声
教材大纲
培训视频
学习交流
立即咨询
当前位置:
首页
>
自学考试
>
概率论与数理统计(经管类)(04183)
>
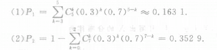
设事件A在每一次试验中发生的概率分别为0.3.当A发生不少于3次时,指示灯发出信号,求:(1)进行5次独立试验,求指示灯发出信号的概率;(2)进行7次独立试验,求指示灯发出信号的概率.
1.【问答题】
设事件A在每一次试验中发生的概率分别为0.3.当A发生不少于3次时,指示灯发出信号,求:(1)进行5次独立试验,求指示灯发出信号的概率;(2)进行7次独立试验,求指示灯发出信号的概率.
查看答案
获取二级造价工程师定制学习规划
00
:
00
:
00
2334
已获取
微信号:hqwxjg1006
自学考试历年真题
更多
资料下载
更多
下载快题库,随时随地刷题
碎片时间巩固知识点
获取验证码
立即注册
注册表示同意
《用户协议》
和
《隐私政策》
可进入学习中心查看新用户注册赠礼
微信扫码一键登录
微信扫码安全登录
可进入学习中心查看新用户注册赠礼
扫描即表示同意
《网站注册协议》
返回顶部