当前位置: 首页 > 自学考试 > 概率论与数理统计(经管类)(04183) > 设顾客在某银行的窗口等待服务的时间X(以分计)服从参数为指数分布.某顾客在窗口等待服务,若超过10分钟,他就离开.他一个月要到银行5次,以Y表示他未等到服务而离开窗口的次数.写出Y的分布律,并求P{Y≥1).

1.【问答题】

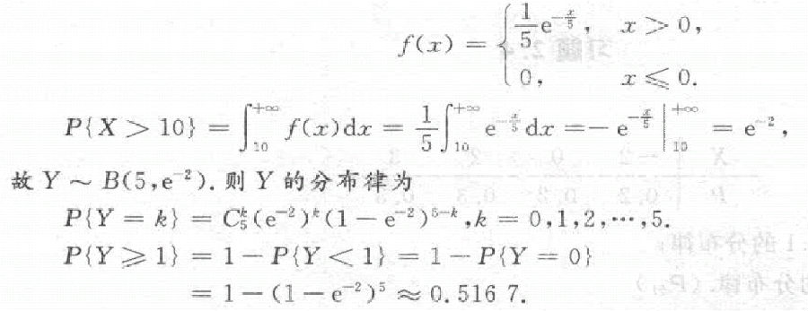
设顾客在某银行的窗口等待服务的时间X(以分计)服从参数为指数分布.某顾客在窗口等待服务,若超过10分钟,他就离开.他一个月要到银行5次,以Y表示他未等到服务而离开窗口的次数.写出Y的分布律,并求P{Y≥1).

查看答案
获取二级造价工程师定制学习规划
壮壮老师
00:00:00
2334已获取

微信号:hqwxjg1006

自学考试历年真题 更多

下载快题库,随时随地刷题
碎片时间巩固知识点

返回顶部