当前位置: 首页 > 成人高考 > 高等数学(二)(专升本) >

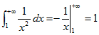
1.【填空题】

知识点:第三章第二节:定积分

1
查看答案
获取二级造价工程师定制学习规划
壮壮老师
00:00:00
2334已获取

微信号:hqwxjg1006

成人高考历年真题 更多

下载快题库,随时随地刷题
碎片时间巩固知识点

返回顶部