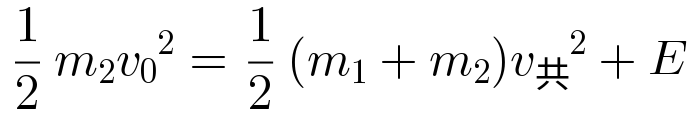
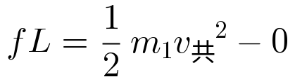
当前位置: 首页 > 成人高考 > 物理(高起点) > 如图.一质量为m的本块静置在光滑的水平面上,一质量为m的子弹以速度水平射入本块,进人木块距离后相对木块静止.设子弹相对木块静止前受到的阻力恒定.求从子弹开始进入到相对本块静止这段时间内(1)子弹与本块组成的系统损失的机械能(2)木块移动的距离。

1.【问答题】

如图.一质量为m的本块静置在光滑的水平面上,一质量为m的子弹以速度水平射入本块,进人木块距离后相对木块静止.设子弹相对木块静止前受到的阻力恒定.求从子弹开始进入到相对本块静止这段时间内
(1)子弹与本块组成的系统损失的机械能(2)木块移动的距离。

查看答案
获取二级造价工程师定制学习规划
壮壮老师
00:00:00
2334已获取

微信号:hqwxjg1006

成人高考历年真题 更多

下载快题库,随时随地刷题
碎片时间巩固知识点

返回顶部