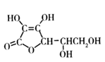
当前位置: 首页 > 成人高考 > 化学(高起点) > 26. 维生素c的结构简式为:   可利用氧化还原反应:维生素C + I2→A+2HI测定维生素C的含量,该反应中氧化剂为___________,产物A的分子式为___________________

1.【填空题】

知识点:第一章第二节 物质结构 元素周期律

26. 维生素c的结构简式为:

 

 

 

可利用氧化还原反应:维生素C + I2A+2HI测定维生素C的含量,该反应中氧化剂为___________,产物A的分子式为___________________



1
2
查看答案
获取二级造价工程师定制学习规划
壮壮老师
00:00:00
2334已获取

微信号:hqwxjg1006

成人高考历年真题 更多

下载快题库,随时随地刷题
碎片时间巩固知识点

返回顶部