成人高考
全部课程
课程试听
老师风采
考试动态
报考指南
考试报名
成绩查询
合格标准
答疑精选
准考证
证书领取
招生简章
录取查询
志愿填报
报考查询
报考条件
考试题库
历年试题
模拟试题
知识点题目
备考指导
报考须知
复习资料
考试技巧
学员心声
政策法规
考试提醒
教育热点
行业动态
考试文件
教务公告
教材大纲
学习交流
立即咨询
当前位置:
首页
>
成人高考
>
数学(文)(高起点)
>
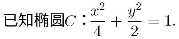
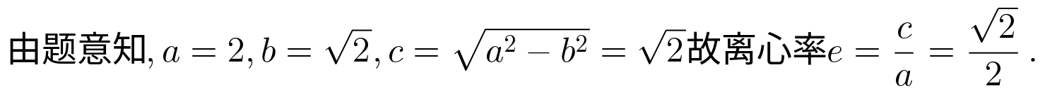
求C的离心率;
1.【案例题】
第1题
第2题
求C的离心率;
查看答案
查看答案
获取二级造价工程师定制学习规划
00
:
00
:
00
2334
已获取
微信号:hqwxjg1006
成人高考历年真题
更多
资料下载
更多
下载快题库,随时随地刷题
碎片时间巩固知识点
获取验证码
立即注册
注册表示同意
《用户协议》
和
《隐私政策》
可进入学习中心查看新用户注册赠礼
微信扫码一键登录
微信扫码安全登录
可进入学习中心查看新用户注册赠礼
扫描即表示同意
《网站注册协议》
返回顶部