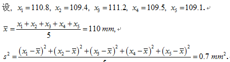
当前位置: 首页 > 成人高考 > 数学(文)(高起点) > 从一批相同型号的钢管中抽取5根,测其内径,得到如下样本数据(单位:mm):110.8,  109.4,  111.2,  109.5,  109.1,则该样本的方差为()mm2

1.【填空题】

知识点:第十六章 统计初步

从一批相同型号的钢管中抽取5根,测其内径,得到如下样本数据(单位:mm):110.8,  109.4,  111.2,  109.5,  109.1,则该样本的方差为()mm2

1
查看答案
获取二级造价工程师定制学习规划
壮壮老师
00:00:00
2334已获取

微信号:hqwxjg1006

成人高考历年真题 更多

下载快题库,随时随地刷题
碎片时间巩固知识点

返回顶部