当前位置: 首页 > 成人高考 > 数学(文)(高起点) > 已知关于x,y的方程.(1)证明:无论θ为何值,方程均表示半径为定长的圆;(2)当θ=时,判断该圆与直线y=x的位置关系.

1.【问答题】

知识点:第十三章第一节:圆

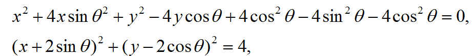
已知关于x,y的方程.

(1)证明:无论θ为何值,方程均表示半径为定长的圆;

(2)当θ=时,判断该圆与直线y=x的位置关系.


查看答案
获取二级造价工程师定制学习规划
壮壮老师
00:00:00
2334已获取

微信号:hqwxjg1006

成人高考历年真题 更多

下载快题库,随时随地刷题
碎片时间巩固知识点

返回顶部